Digital Logic
Deep Understanding: 85 hours
Community
Digital Logic
2078 Boards
Section A
Answer any two questions.
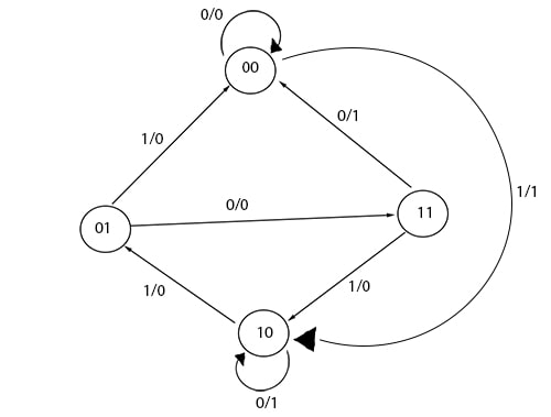
To design the sequential circuit using J-K flip-flops based on the given state diagram, the following steps are performed:
-
Derive the State Table:
The state diagram has 4 states (00, 01, 10, 11), requiring two flip-flops (let's denote them as A and B, where A is the Most Significant Bit). There is one inputXand one outputZ. The state table lists the present state (A B), input (X), next state (A+ B+), and output (Z).Present State (A B) Input (X) Next State (A+ B+) Output (Z) 00 0 00 0 00 1 11 1 01 0 11 0 01 1 00 0 10 0 10 1 10 1 01 0 11 0 00 1 11 1 10 0 -
J-K Flip-Flop Excitation Table:
The excitation table for a J-K flip-flop determines the required J and K inputs to achieve a specific state transition (Q to Q+).Q Q+ J K 0 0 0 X 0 1 1 X 1 0 X 1 1 1 X 0 -
Extend State Table with J-K Flip-Flop Inputs:
Using the excitation table, determine the J and K inputs for each flip-flop (JA, KA for FF A; JB, KB for FF B) for every state transition.Present State (A B) Input (X) Next State (A+ B+) Output (Z) JA KA JB KB 00 0 00 0 0 X 0 X 00 1 11 1 1 X 1 X 01 0 11 0 1 X X 0 01 1 00 0 0 X X 1 10 0 10 1 X 0 0 X 10 1 01 0 X 1 1 X 11 0 00 1 X 1 X 1 11 1 10 0 X 0 X 1 -
Derive Simplified Boolean Expressions using K-Maps:
K-maps are used to simplify the Boolean expressions for JA, KA, JB, KB, and Z in terms of A, B, and X.-
JA K-Map (A,B,X)
AB\X 0 1 00 0 1 01 1 0 11 X X 10 X X JA = A'B'X + A'BX' = A'(B XOR X) -
KA K-Map (A,B,X)
AB\X 0 1 00 X X 01 X X 11 1 0 10 0 1 KA = AB'X + ABX' = A(B XOR X) -
JB K-Map (A,B,X)
AB\X 0 1 00 0 1 01 X X 11 X X 10 0 1 JB = A'B'X + AB'X = B'X -
KB K-Map (A,B,X)
AB\X 0 1 00 X X 01 0 1 11 1 1 10 X X KB = A'BX + AB -
Z K-Map (A,B,X)
AB\X 0 1 00 0 1 01 0 0 11 1 0 10 1 0 Z = A'B'X + AX'
-
-
Final Boolean Expressions:
- JA = A'(B XOR X)
- KA = A(B XOR X)
- JB = B'X
- KB = A'BX + AB
- Z = A'B'X + AX'
-
Circuit Diagram (Logic Diagram):
The circuit diagram is constructed using two J-K flip-flops (FF A and FF B) and combinational logic gates as per the derived Boolean expressions.
The function to be implemented is F(A, B, C) = Σ(0, 2, 3, 4, 7).
First, the truth table for F(A, B, C):
| A | B | C | Minterm | F |
|---|---|---|---|---|
| 0 | 0 | 0 | m0 | 1 |
| 0 | 0 | 1 | m1 | 0 |
| 0 | 1 | 0 | m2 | 1 |
| 0 | 1 | 1 | m3 | 1 |
| 1 | 0 | 0 | m4 | 1 |
| 1 | 0 | 1 | m5 | 0 |
| 1 | 1 | 0 | m6 | 0 |
| 1 | 1 | 1 | m7 | 1 |
Multiplexer Implementation
A 3-variable function can be implemented using an 8x1 multiplexer (MUX). The three input variables (A, B, C) serve as the select lines (S2, S1, S0 respectively, where A is MSB). The output F is directly obtained by connecting the data inputs (I0 to I7) to either logic '0' or '1' based on the truth table.
- MUX Type: 8x1 Multiplexer
- Select Lines: S2 = A, S1 = B, S0 = C
- Data Inputs:
- I0 = F(000) = 1
- I1 = F(001) = 0
- I2 = F(010) = 1
- I3 = F(011) = 1
- I4 = F(100) = 1
- I5 = F(101) = 0
- I6 = F(110) = 0
- I7 = F(111) = 1
<<<GRAPHVIZ_START>>>
digraph MUX_Impl {
rankdir=LR;
node [shape=box, style=filled, fillcolor=lightgray];
subgraph cluster_inputs {
label = "Inputs";
A [shape=none];
B [shape=none];
C [shape=none];
VCC [label="1", shape=none];
GND [label="0", shape=none];
}
MUX [label="8x1 MUX", shape=component, height=2];
F [label="F", shape=none];
// Select lines
A -> MUX:s2 [label="S2"];
B -> MUX:s1 [label="S1"];
C -> MUX:s0 [label="S0"];
// Data inputs
VCC -> MUX:i0 [label="I0"];
GND -> MUX:i1 [label="I1"];
VCC -> MUX:i2 [label="I2"];
VCC -> MUX:i3 [label="I3"];
VCC -> MUX:i4 [label="I4"];
GND -> MUX:i5 [label="I5"];
GND -> MUX:i6 [label="I6"];
VCC -> MUX:i7 [label="I7"];
MUX:out -> F;
// Define component shape
node [shape=none];
MUX [shape=record, label="{<s2>S2|<s1>S1|<s0>S0|8x1 MUX|<i0>I0|<i1>I1|<i2>I2|<i3>I3|<i4>I4|<i5>I5|<i6>I6|<i7>I7|<out>F}"];
}
<<<GRAPHVIZ_END>>>
Decoder Implementation
A 3-variable function can be implemented using a 3-to-8 line decoder and an OR gate. The inputs A, B, C are connected to the decoder inputs. The decoder generates all 8 minterms (m0 to m7). The desired minterms (m0, m2, m3, m4, m7) are then connected as inputs to an OR gate, whose output represents the function F.
- Decoder Type: 3-to-8 Line Decoder
- Decoder Inputs: A, B, C
- OR Gate Inputs: Outputs corresponding to minterms m0, m2, m3, m4, m7.
<<<GRAPHVIZ_START>>>
digraph Decoder_Impl {
rankdir=LR;
node [shape=box, style=filled, fillcolor=lightgray];
subgraph cluster_inputs {
label = "Inputs";
A [shape=none];
B [shape=none];
C [shape=none];
}
Decoder [label="3-to-8 Decoder", shape=component];
m0 [label="m0", shape=none];
m1 [label="m1", shape=none];
m2 [label="m2", shape=none];
m3 [label="m3", shape=none];
m4 [label="m4", shape=none];
m5 [label="m5", shape=none];
m6 [label="m6", shape=none];
m7 [label="m7", shape=none];
OR_gate [label="OR", shape=circle, fixedsize=true, width=0.5];
F [label="F", shape=none];
// Connections to Decoder
A -> Decoder:A;
B -> Decoder:B;
C -> Decoder:C;
// Decoder outputs to individual minterm labels
Decoder:m0 -> m0;
Decoder:m1 -> m1;
Decoder:m2 -> m2;
Decoder:m3 -> m3;
Decoder:m4 -> m4;
Decoder:m5 -> m5;
Decoder:m6 -> m6;
Decoder:m7 -> m7;
// Selected minterms to OR gate
m0 -> OR_gate;
m2 -> OR_gate;
m3 -> OR_gate;
m4 -> OR_gate;
m7 -> OR_gate;
OR_gate -> F;
// Invisible nodes for alignment
{ rank = same; m0; m1; m2; m3; m4; m5; m6; m7; }
node [shape=none];
Decoder [shape=record, label="{<A>A|<B>B|<C>C|3-to-8 Decoder|<m0>m0|<m1>m1|<m2>m2|<m3>m3|<m4>m4|<m5>m5|<m6>m6|<m7>m7}"];
}
<<<GRAPHVIZ_END>>>
PLA (Programmable Logic Array) Implementation
A PLA implements a function in sum-of-products (SOP) form using a programmable AND array and a programmable OR array. First, the function F = Σ(0, 2, 3, 4, 7) needs to be simplified to its minimal SOP form using a K-map.
K-map for F(A, B, C):
| A\BC | 00 (0) | 01 (1) | 11 (3) | 10 (2) |
|---|---|---|---|---|
| 0 | 1 (m0) | 0 (m1) | 1 (m3) | 1 (m2) |
| 1 | 1 (m4) | 0 (m5) | 1 (m7) | 0 (m6) |
Grouping:
- (m0, m4): A'B'C' + AB'C' = B'C'
- (m2, m3): A'BC' + A'BC = A'B
- (m7): ABC (no further simplification with existing groups)
Minimal SOP Form: F = B'C' + A'B + ABC
PLA Structure:
- Inputs: The PLA receives the input variables A, B, C and their complements A', B', C'. These lines are fed into the AND array.
- Programmable AND Array: This array is configured to generate the three product terms:
- P1 = B'C'
- P2 = A'B
- P3 = ABC
Each product term line is formed by making appropriate connections (fuses) to the input lines.
- Programmable OR Array: The outputs of the AND array (P1, P2, P3) are fed into the OR array. The OR array is configured to combine these product terms to produce the final output F:
- F = P1 + P2 + P3
Connections are made (fuses) from the required product term lines to the output OR gate.
- F = P1 + P2 + P3
<<<GRAPHVIZ_START>>>
digraph PLA_Impl {
rankdir=LR;
node [shape=rect, style=filled, fillcolor=lightgray];
subgraph cluster_inputs {
label = "Inputs";
A [shape=none];
A_comp [label="A'", shape=none];
B [shape=none];
B_comp [label="B'", shape=none];
C [shape=none];
C_comp [label="C'", shape=none];
}
subgraph cluster_and_array {
label = "AND Array (Product Terms)";
P1 [label="P1 = B'C'"];
P2 [label="P2 = A'B"];
P3 [label="P3 = ABC"];
}
subgraph cluster_or_array {
label = "OR Array";
F_out [label="F"];
}
// Connections to AND array
B_comp -> P1;
C_comp -> P1;
A_comp -> P2;
B -> P2;
A -> P3;
B -> P3;
C -> P3;
// Connections from AND array to OR array
P1 -> F_out;
P2 -> F_out;
P3 -> F_out;
// Invisible nodes for layout
{ rank = same; A; A_comp; B; B_comp; C; C_comp; }
{ rank = same; P1; P2; P3; }
}
<<<GRAPHVIZ_END>>>
Difference between Synchronous and Asynchronous Counter
-
Clocking Mechanism:
- Asynchronous (Ripple) Counter: Flip-flops (FFs) are not clocked simultaneously. The output of one flip-flop acts as the clock input for the next flip-flop in the sequence.
- Synchronous Counter: All flip-flops are clocked simultaneously by a common clock signal. All state changes occur precisely at the same time.
-
Propagation Delay:
- Asynchronous Counter: Propagation delays accumulate from one FF to the next, leading to a ripple effect. This limits the maximum operating frequency and can cause temporary erroneous states (glitches).
- Synchronous Counter: Propagation delays are minimized as all FFs change state in parallel. The overall speed is limited primarily by the propagation delay of the logic gates and the longest single FF delay, not the accumulated delays.
-
Speed:
- Asynchronous Counter: Slower due to cumulative propagation delays.
- Synchronous Counter: Faster and more suitable for high-speed applications.
-
Design Complexity:
- Asynchronous Counter: Simpler to design, especially for basic counting sequences, as fewer external logic gates are typically required.
- Synchronous Counter: More complex to design, requiring combinational logic (e.g., AND, OR, XOR gates) to determine the next state inputs for each flip-flop.
-
Glitches/Timing Issues:
- Asynchronous Counter: Prone to decoding errors (glitches) at high frequencies due to the ripple effect, where different FFs change state at slightly different times.
- Synchronous Counter: Generally more stable and less prone to glitches since all FFs transition at the same clock edge, ensuring that the outputs are stable at the same time.
Design Mode-7 Synchronous Counter Using T-Flip-Flop
A Mode-7 synchronous counter counts in a sequence of 7 distinct states (000 to 110, i.e., 0 to 6) and then resets to 000.
-
Determine the Number of Flip-Flops (N):
For M states, N flip-flops are required such that $2^{N} \ge M$.
For M = 7, $2^{N} \ge 7$.
Since $2^2=4$ (too small) and $2^3=8$ (sufficient), we need 3 flip-flops. Let them be Q2, Q1, Q0 (where Q2 is the Most Significant Bit). -
T-Flip-Flop Excitation Table:
The excitation table for a T-flip-flop defines the required T input for a given state transition.Q(t) Q(t+1) T 0 0 0 0 1 1 1 0 1 1 1 0 The characteristic equation is $Q(t+1) = T \oplus Q(t)$. Therefore, $T = Q(t) \oplus Q(t+1)$. -
State Transition Table (Truth Table):
This table lists the current state (Present State), the desired next state (Next State), and the required T-inputs for each flip-flop (T2, T1, T0) to achieve that transition, based on the T-FF excitation table. The unused state (111) is treated as a "don't care" (X) for simplification, but in a robust design, it should transition to a known state (e.g., 000).Present State Next State T2 (Q2^Q2+) T1 (Q1^Q1+) T0 (Q0^Q0+) Q2 Q1 Q0 Q2+ Q1+ Q0+ 0 0 0 0 0 1 0 0 1 0 0 1 0 1 0 0 1 1 0 1 0 0 1 1 0 0 1 0 1 1 1 0 0 1 1 1 1 0 0 1 0 1 0 0 1 1 0 1 1 1 0 0 1 1 1 1 0 0 0 0 1 1 0 1 1 1 X X X X X X -
Karnaugh Maps (K-Maps) and Minimized Boolean Expressions:
Minimize the expressions for T2, T1, and T0 using K-maps. The current state variables (Q2, Q1, Q0) are the inputs to the K-maps.K-map for T0:
Q0 Q2Q1 0 1 +---+---+ 00 | 1 | 1 | <-- (000, 001) +---+---+ 01 | 1 | 1 | <-- (010, 011) +---+---+ 10 | 1 | 1 | <-- (100, 101) +---+---+ 11 | 0 | X | <-- (110, 111) +---+---+- Grouping 1: Cells (000, 001, 010, 011) covering Q2'=0 $\rightarrow$ Q2'
- Grouping 2: Cells (100, 101) $\rightarrow$ Q2Q1'
- Minimized Expression for T0: $T0 = Q2' + Q2Q1'$
K-map for T1:
Q0 Q2Q1 0 1 +---+---+ 00 | 0 | 1 | <-- (000, 001) +---+---+ 01 | 0 | 1 | <-- (010, 011) +---+---+ 10 | 0 | 1 | <-- (100, 101) +---+---+ 11 | 1 | X | <-- (110, 111) +---+---+- Grouping 1: Cells (001, 011, 101, 111 (X)) $\rightarrow$ Q0
- Grouping 2: Cells (110, 111 (X)) $\rightarrow$ Q2Q1
- Minimized Expression for T1: $T1 = Q0 + Q2Q1$
K-map for T2:
Q0 Q2Q1 0 1 +---+---+ 00 | 0 | 0 | <-- (000, 001) +---+---+ 01 | 0 | 1 | <-- (010, 011) +---+---+ 10 | 0 | 0 | <-- (100, 101) +---+---+ 11 | 1 | X | <-- (110, 111) +---+---+- Grouping 1: Cells (011, 111 (X)) $\rightarrow$ Q1Q0
- Grouping 2: Cells (110, 111 (X)) $\rightarrow$ Q2Q1
- Minimized Expression for T2: $T2 = Q1Q0 + Q2Q1$
-
Final Boolean Expressions for T-Flip-Flop Inputs:
- $T0 = Q2' + Q2Q1'$
- $T1 = Q0 + Q2Q1$
- $T2 = Q1Q0 + Q2Q1$
These equations would then be implemented using logic gates to drive the T inputs of the respective flip-flops, with all flip-flops sharing a common clock signal.
Section B
Answer any two questions.
-
Shift Right Operation Example:
Shift right operation is commonly used for efficient integer division by powers of two. For instance, shifting a binary number right by one position is equivalent to dividing the number by 2. This is a fast operation often implemented directly by hardware. -
Parallel-In-Parallel-Out (PIPO) Register:
A Parallel-In-Parallel-Out (PIPO) register is a type of digital register where data bits are loaded into the register simultaneously (in parallel) and are also read out from the register simultaneously (in parallel). It typically consists of a series of D flip-flops, one for each bit, with common clock and clear inputs. Each flip-flop's data input (D) is connected to a corresponding parallel input line, and its output (Q) provides a corresponding parallel output line. This configuration allows for the instantaneous storage and retrieval of a complete multi-bit word.
1's Complement Subtraction: 110101 – 100101
- Step 1: Identify Minuend (A) and Subtrahend (B)
- A = 110101
- B = 100101
- Step 2: Find the 1's complement of the subtrahend (B')
- B' = 011010
- Step 3: Add A to B'
110101 (A) + 011010 (B') ---------- 1001111 (Sum) - Step 4: Check for End-Around Carry
- An end-around carry of '1' is generated.
- Step 5: Add the End-Around Carry to the Sum
001111 (Sum without carry) + 1 (End-around carry) ---------- 010000 - Result: The result of the 1's complement subtraction is 010000.
Decimal to Binary Conversion: 0.125
- Step 1: Multiply the fractional part by 2
- 0.125 * 2 = 0.25 (Integer part = 0)
- Step 2: Multiply the new fractional part by 2
- 0.25 * 2 = 0.50 (Integer part = 0)
- Step 3: Multiply the new fractional part by 2
- 0.50 * 2 = 1.00 (Integer part = 1)
- Step 4: Collect the integer parts from top to bottom
- 0.001
- Result: The binary representation of decimal 0.125 is 0.001.
Boolean Expression Derivation
A half adder is a combinational circuit that adds two single-bit binary numbers, producing a sum (S) and a carry (C) output.
Let the two input bits be A and B.
-
Truth Table:
| A | B | S | C |
|---|---|---|---|
| 0 | 0 | 0 | 0 |
| 0 | 1 | 1 | 0 |
| 1 | 0 | 1 | 0 |
| 1 | 1 | 0 | 1 | -
Sum (S) Expression:
From the truth table, S is 1 when A and B are different. This corresponds to the Exclusive OR (XOR) operation.
S = A $\oplus$ B
S = A'B + AB' -
Carry (C) Expression:
From the truth table, C is 1 only when both A and B are 1. This corresponds to the AND operation.
C = A $\cdot$ B
Combinational Circuit Diagram
<<<GRAPHVIZ_START>>>
digraph HalfAdderStandard {
rankdir=LR;
node [shape=box, style=filled, fillcolor=lightgray];
A [label="A", shape=none];
B [label="B", shape=none];
xor_gate [shape=record, label="{<i1>|<i2> XOR |<o>}", fixedsize=true, width=0.8, height=0.6];
and_gate [shape=record, label="{<i1>|<i2> AND |<o>}", fixedsize=true, width=0.8, height=0.6];
S [label="S", shape=none];
C [label="C", shape=none];
A -> xor_gate:i1;
B -> xor_gate:i2;
xor_gate:o -> S;
A -> and_gate:i1;
B -> and_gate:i2;
and_gate:o -> C;
}
<<<GRAPHVIZ_END>>>
NAND Gate Implementation
-
Sum (S = A $\oplus$ B) using NAND gates:
S = ( (A NAND (A NAND B)) NAND (B NAND (A NAND B)) ) -
Carry (C = A $\cdot$ B) using NAND gates:
C = ( (A NAND B) NAND (A NAND B) )
<<<GRAPHVIZ_START>>>
digraph HalfAdderNAND {
rankdir=LR;
node [shape=record, style=filled, fillcolor=lightgray, label="{
A [label="A", shape=none];
B [label="B", shape=none];
nand1 [label="{<i1>|<i2> NAND |<o>}" ]; // A NAND B
nand2 [label="{<i1>|<i2> NAND |<o>}" ]; // A NAND nand1.o
nand3 [label="{<i1>|<i2> NAND |<o>}" ]; // B NAND nand1.o
nand4 [label="{<i1>|<i2> NAND |<o>}" ]; // nand2.o NAND nand3.o (SUM)
nand5 [label="{<i1>|<i2> NAND |<o>}" ]; // nand1.o NAND nand1.o (CARRY)
S [label="S", shape=none];
C [label="C", shape=none];
A -> nand1:i1;
B -> nand1:i2;
A -> nand2:i1;
nand1:o -> nand2:i2;
B -> nand3:i1;
nand1:o -> nand3:i2;
nand2:o -> nand4:i1;
nand3:o -> nand4:i2;
nand4:o -> S;
nand1:o -> nand5:i1;
nand1:o -> nand5:i2;
nand5:o -> C;
}
<<<GRAPHVIZ_END>>>
To express the Boolean function F = x + yz as a product of max-terms, first identify the min-terms where the function is true, and then find the complementary min-terms which correspond to the max-terms.
-
Standardize the function with all variables:
- F = x + yz
- Since there are three variables (x, y, z), each term must include all variables in their true or complemented form.
- x = x(y + y')(z + z') = (xy + xy')(z + z') = xyz + xyz' + xy'z + xy'z'
- yz = yz(x + x') = xyz + x'yz
-
Combine and simplify to find sum of min-terms:
- F = (xyz + xyz' + xy'z + xy'z') + (xyz + x'yz)
- Remove duplicate term (xyz):
- F = xyz + xyz' + xy'z + xy'z' + x'yz
-
List the corresponding min-terms (m_i):
- xyz (111) = m₇
- xyz' (110) = m₆
- xy'z (101) = m₅
- xy'z' (100) = m₄
- x'yz (011) = m₃
- Therefore, F = Σm(3, 4, 5, 6, 7)
-
Identify the missing min-terms, which correspond to the max-terms (M_i) where F is false:
- For 3 variables, the possible min-terms are m₀ to m₇.
- The missing min-terms are m₀, m₁, m₂.
- Therefore, F = ΠM(0, 1, 2)
-
Write the product of max-terms:
- M₀ (000) = x + y + z
- M₁ (001) = x + y + z'
- M₂ (010) = x + y' + z
- F = (x + y + z)(x + y + z')(x + y' + z)
To minimize the Boolean function F(A, B, C, D) = Σ(0, 1, 3, 5, 7, 8, 9, 11, 13, 15) using a 4-variable K-map:
1. K-map Representation
The minterms are placed into the K-map grid. '1's represent the given minterms, and '0's represent the unlisted minterms.
<<<GRAPHVIZ_START>>>
digraph Kmap {
graph [rankdir=TB];
node [shape=plaintext, fontname="Helvetica", fontsize=10];
KmapTable [label=<
<TABLE BORDER="0" CELLBORDER="1" CELLSPACING="0" CELLPADDING="4">
<TR>
<TD COLSPAN="2" ROWSPAN="2"></TD>
<TD COLSPAN="4" BORDER="0" ALIGN="LEFT"><B>CD</B></TD>
</TR>
<TR>
<TD><FONT POINT-SIZE="10">00</FONT></TD>
<TD><FONT POINT-SIZE="10">01</FONT></TD>
<TD><FONT POINT-SIZE="10">11</FONT></TD>
<TD><FONT POINT-SIZE="10">10</FONT></TD>
</TR>
<TR>
<TD ROWSPAN="4" BORDER="0" ALIGN="LEFT"><B>AB</B></TD>
<TD><FONT POINT-SIZE="10">00</FONT></TD>
<TD BGCOLOR="lightgray">1</TD> <!-- m0 -->
<TD BGCOLOR="lightgray">1</TD> <!-- m1 -->
<TD BGCOLOR="lightgray">1</TD> <!-- m3 -->
<TD>0</TD> <!-- m2 -->
</TR>
<TR>
<TD><FONT POINT-SIZE="10">01</FONT></TD>
<TD>0</TD> <!-- m4 -->
<TD BGCOLOR="lightgray">1</TD> <!-- m5 -->
<TD BGCOLOR="lightgray">1</TD> <!-- m7 -->
<TD>0</TD> <!-- m6 -->
</TR>
<TR>
<TD><FONT POINT-SIZE="10">11</FONT></TD>
<TD>0</TD> <!-- m12 -->
<TD BGCOLOR="lightgray">1</TD> <!-- m13 -->
<TD BGCOLOR="lightgray">1</TD> <!-- m15 -->
<TD>0</TD> <!-- m14 -->
</TR>
<TR>
<TD><FONT POINT-SIZE="10">10</FONT></TD>
<TD BGCOLOR="lightgray">1</TD> <!-- m8 -->
<TD BGCOLOR="lightgray">1</TD> <!-- m9 -->
<TD BGCOLOR="lightgray">1</TD> <!-- m11 -->
<TD>0</TD> <!-- m10 -->
</TR>
</TABLE>
>];
}
<<<GRAPHVIZ_END>>>
2. Grouping of Minterms
Identify the largest possible groups of adjacent '1's.
-
Quad 1 (Green): Groups the four '1's in the second column (CD=01).
Minterms: (1, 5, 9, 13)
Variables: A varies (0,1,1,0), B varies (0,1,1,0), C=0, D=1.
This group simplifies to D. -
Quad 2 (Red): Groups the four '1's in the top-most and bottom-most rows (AB=00 and AB=10) and first two columns (CD=00 and CD=01) by wrapping around.
Minterms: (0, 1, 8, 9)
Variables: A varies (0,1), B=0, C=0, D varies (0,1).
This group simplifies to B'C'. -
Quad 3 (Blue): Groups the four '1's in the third column (CD=11).
Minterms: (3, 7, 11, 15)
Variables: A varies (0,1,1,0), B varies (0,1,1,0), C=1, D=1.
This group simplifies to CD.
3. Minimized Boolean Expression
All '1's are covered by these three essential prime implicants.
The minimized sum-of-products expression is the ORing of these terms:
F(A, B, C, D) = D + B'C' + CD
Practical Implementations of Up Counters:
- Digital Clocks and Timers: Used to count seconds, minutes, and hours in real-time clock applications or to measure time intervals.
- Frequency Dividers: By using a counter that counts up to a specific number and then resets, the input frequency can be divided by that number.
- Event Counters: For counting occurrences of specific events, such as products on an assembly line, pulses from a sensor, or clock cycles in a processor.
- Address Generators: In memory systems, counters can generate sequential memory addresses for data access.
- Analog-to-Digital Converters (ADCs): In some ADC architectures (e.g., ramp ADCs), an up counter is used to generate a digital value that is compared against an analog input.
Binary Ripple Counter Explanation:
A binary ripple counter is an asynchronous counter where the output of one flip-flop serves as the clock input for the subsequent flip-flop.
- Structure: It is typically constructed using multiple J-K flip-flops or T flip-flops, with each flip-flop configured in toggle mode (J=K=1 or T=1). The flip-flops are connected in series.
- Operation:
- The external clock signal is applied only to the clock input of the first flip-flop (representing the Least Significant Bit, LSB).
- The output (Q) of the first flip-flop toggles on each active edge of the external clock.
- This Q output then acts as the clock input for the second flip-flop, causing it to toggle at half the frequency of the first.
- This process continues down the chain, with each successive flip-flop toggling at half the frequency of the preceding one.
- The propagation delay through each flip-flop results in a sequential change in state that "ripples" through the counter, hence the name.
- Characteristics: Simple to design and implement, but suffers from cumulative propagation delays which limit its maximum operating speed and can lead to transient invalid states (glitches) during state transitions.
The design of the combinational circuit proceeds as follows:
1. Truth Table
Let the three inputs be A, B, C, where C is the Least Significant Bit (LSB). The output Z is 1 if the binary value represented by ABC is an odd number.
| A | B | C | Decimal Value | Z |
|---|---|---|---|---|
| 0 | 0 | 0 | 0 | 0 |
| 0 | 0 | 1 | 1 | 1 |
| 0 | 1 | 0 | 2 | 0 |
| 0 | 1 | 1 | 3 | 1 |
| 1 | 0 | 0 | 4 | 0 |
| 1 | 0 | 1 | 5 | 1 |
| 1 | 1 | 0 | 6 | 0 |
| 1 | 1 | 1 | 7 | 1 |
2. Boolean Expression
From the truth table, the Sum of Products (SOP) expression for Z is:
Z = A'B'C + A'BC + AB'C + ABC
3. Simplification
Using Boolean algebra:
Z = C(A'B' + A'B + AB' + AB)
Z = C(A'(B' + B) + A(B' + B))
Z = C(A'(1) + A(1))
Z = C(A' + A)
Z = C(1)
Z = C
The output Z is equal to the input C, as the LSB (C) determines whether a binary number is odd (C=1) or even (C=0).
4. Logic Diagram
<<<GRAPHVIZ_START>>>
digraph G {
rankdir=LR;
node [shape=none, width=0.1, height=0.1]; // Make input/output nodes smaller
// Inputs
A [label="A"];
B [label="B"];
C [label="C"];
// Output
Z_out [label="Z"];
// Connection
C -> Z_out;
// Subgraph for visual grouping of inputs
subgraph cluster_inputs {
label = "Inputs";
style = dashed;
A; B; C;
}
// Subgraph for visual grouping of output
subgraph cluster_output {
label = "Output";
style = dashed;
Z_out;
}
}
<<<GRAPHVIZ_END>>>
Differentiation between PLA and PAL
-
Programmable Logic Array (PLA):
- Both the AND array and the OR array are programmable.
- Offers high flexibility, allowing any sum-of-products (SOP) expression to be implemented, often sharing product terms between multiple OR gates.
- Generally more complex and slower due to the larger number of programmable fuses.
-
Programmable Array Logic (PAL):
- The AND array is programmable, but the OR array is fixed.
- Simpler and faster than PLAs, as only the input connections to the AND gates are programmable.
- Less flexible than PLAs, as the output of each OR gate is fixed to a specific set of product terms, limiting the complexity of functions that can be generated.
4-bit Magnitude Comparator
A 4-bit magnitude comparator is a combinational logic circuit that compares two 4-bit binary numbers, let's call them A (represented by bits A3A2A1A0) and B (represented by bits B3B2B1B0). It determines the relationship between these two numbers.
The comparator provides three output signals:
- A > B: This output is HIGH if number A is greater than number B.
- A < B: This output is HIGH if number A is less than number B.
- A = B: This output is HIGH if number A is equal to number B.
These three outputs are mutually exclusive; only one can be active (HIGH) at any given time. The comparison logic operates by examining the bits of A and B, typically starting from the most significant bit (MSB), to determine the relative magnitude.
Negative Logic
- A convention for interpreting logic levels where a higher voltage level represents a logic '0' (FALSE), and a lower voltage level represents a logic '1' (TRUE).
- Contrasts with positive logic, where a higher voltage is '1' and a lower voltage is '0'.
- Under negative logic, the functionality of basic gates changes; for example, a positive logic AND gate behaves as a negative logic OR gate.
- Used in specific digital systems or for certain circuit design simplifications.
CMOS
- Stands for Complementary Metal-Oxide-Semiconductor, a technology for constructing integrated circuits.
- Utilizes pairs of complementary (P-type and N-type) MOSFETs to implement logic gates and other digital circuits.
- Characterized by extremely low static power dissipation because in steady-state operation (when the circuit is not switching), one transistor in the complementary pair is always off, blocking the current path from Vcc to ground.
- Offers high noise immunity, a wide operating voltage range, and high integration density, making it the dominant technology for modern microprocessors, memory, and custom logic chips.